





Preview
基本信息产品详情证书
基本信息
| 型号(No.) | WQ |
| 方法 | 联合治疗 |
| 用法 | 工业,家居,农业,医院 |
| 电压 | 380V |
| 驾驶模式 | 电驱动 |
| 材料 | 碳钢或不锈钢 |
| 水温 | 不超过60摄氏度 |
| 保护等级 | IP68 |
| 绝缘等级 | F |
| 交通包裹 | 木质外壳 |
| 商标 | 兰伍 |
| 起源 | 中国 |
产品详情
Product Description
Preview
WQ series submersible sewage pump is a product researched and developed by our company based on absorbing the advanced technology of famous pump manufacturers in Germany, with high technical starting point, obvious energy-saving effect, strong matching and wide applicability. With its unique functions and reliable quality, it has been welcomed and praised by users and has been selected as an alternative import product by many national key construction projects.
Preview

Preview

Preview
Product Features
1.Large channel anti-blocking hydraulic component design, which can effectively pass through 25~125mm diameter solid particles;
2.The water jacket type circulating water cooling system is adopted for the motor, which can ensure the reliable operation of the electric pump without water (dry type) (above 15KW);
3.The unique motor anti-condensation device can automatically dehumidify the motor to ensure that the motor insulation is above 300M Ω under a high-temperature environment and the motor operates normally and reliably;
4.The automatic coupling system is adopted, which is easy to install without building the pump house, and can reduce a lot of project costs and operation costs;
5.The automatic protection system is provided with a multi-function operation display, which can centrally control various operation states and provide effective protection.
Scope of Application
1. Discharge of serious wastewater from factories and businesses;
2. Sewage drainage of residential areas, hospitals and hotels;
3. Water supply and drainage of water plant;
4. Water supply and drainage system of urban sewage treatment plant;
5. Drainage of civil air defense system; Municipal engineering and construction site;
6. Farmland watering; Auxiliary machines for exploration and mining.
Working Conditions
1. PH: 5~9 Water temperature not exceeding
60°C2.Impurity content (weight ratio) not more than 25%
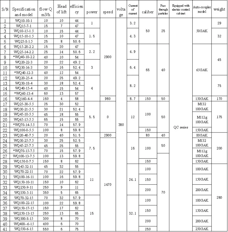
Product Parameters
Product Model Description:
1.Large channel anti-blocking hydraulic component design, which can effectively pass through 25~125mm diameter solid particles;
2.The water jacket type circulating water cooling system is adopted for the motor, which can ensure the reliable operation of the electric pump without water (dry type) (above 15KW);
3.The unique motor anti-condensation device can automatically dehumidify the motor to ensure that the motor insulation is above 300M Ω under a high-temperature environment and the motor operates normally and reliably;
4.The automatic coupling system is adopted, which is easy to install without building the pump house, and can reduce a lot of project costs and operation costs;
5.The automatic protection system is provided with a multi-function operation display, which can centrally control various operation states and provide effective protection.
Scope of Application
1. Discharge of serious wastewater from factories and businesses;
2. Sewage drainage of residential areas, hospitals and hotels;
3. Water supply and drainage of water plant;
4. Water supply and drainage system of urban sewage treatment plant;
5. Drainage of civil air defense system; Municipal engineering and construction site;
6. Farmland watering; Auxiliary machines for exploration and mining.
Working Conditions
1. PH: 5~9 Water temperature not exceeding
60°C2.Impurity content (weight ratio) not more than 25%
Product Parameters
Product Model Description:
Preview

Preview
Technical Performance Table of WQ Series Medium and Small Submersible Sewage Pump:
Preview

Preview
Installation Instructions
Preview

Preview
Product Display
Preview

Preview

Preview

Preview

Preview

Preview
Company Profile
Preview

Preview
证书
标题:营业执照

Preview
新型高性能不锈钢WQ系列潜水式污水泵或污水处理用水泵
¥1086 ~ ¥362000
建筑材料产业链 · 环境检测设备 · 污水处理设备
产地中国


青岛
已认证

