陶哲轩新论文“太反直觉”:再战Erdős问题,证明44年猜想是错的
梦晨 衡宇 发自 凹非寺量子位 | 公众号 QbitAI
陶哲轩最新力作,在“自然数倒数之和是否为有理数”问题上取得一系列进展。
其中最引人瞩目的一项成果,就是证明了一个非常反直觉的猜想,居、然、是、对、的:
存在一个递增的自然数级数ak,使得对任意有理数t,都是有理数。()
一位Topos研究所的数学物理学家John Carlos Baez在评论区毫不掩饰自己的惊叹:
哇哦,这个结论太反直觉了!不过这也意味着这项研究非常有趣。

为啥说这个结论非常反直觉?
可以理解成,要使一个级数的和是有理数本来就很难,再加上任意有理数t的偏移量,还让级数保持有理性,难度就又加几个数量级了。
需要满足对所有有理数t都成立,而有理数有无穷多个每增加一个t,就相当于增加一个约束条件改变序列中任何一个数字ak,都会同时影响所有t对应的级数和

数学家Kenneth Stolarsky或许也是如上所想的,所以提出了相反的Stolarsky猜想。
现在,陶哲轩的结论相当于证明了Stolarsky猜想是不成立的。

果然,数学的神奇之处就在于,有时看似不可能的事情实际上是可能的,只是解决方案可能超出了我们的直观认知。
那么,陶哲轩的方法是怎么颠覆直觉的?
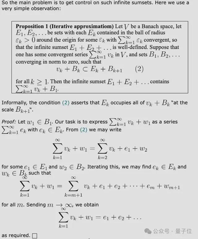
迭代逼近法解决无限维度问题
从论文提交历史可以看到,这项研究原本只有Vjekoslav Kovač一个作者,研究的是两个特定级数的有理性问题。

陶哲轩加入后,帮助Kovač扩展到了对整个Ahmes级数的研究。
原本只有6页的短论文,也扩展成了28页长篇论证……

除了论文之外,陶哲轩还在个人博客上解释了他们的思路。
不是直接尝试构造这个级数,而是把问题转化为研究一种集合,再使用“迭代逼近”方法,逐步解决。

先来解释一下什么是Ahmes级数。
Ahmes级数是满足如下形式的无穷级数,其中ak是一个严格递增的自然数序列。
由于大多数实数都是无理数,人们也会期望这样的级数“通常”也是无理的,但很难确定一个特定级数的无理性。
首先,此前数学界已知道,如果aₖ的增长速度比C(2k)更快(对任意常数C),那么对应的Ahmes级数一定是无理数。
也就是存在一个明确的“增长速度分界线”,超过这个速度,级数必然无理。但接近这个速度时,仍可能找到有理的例子。

接下来,论文中表明了如果满足aₖ₊₁=O(aₖ²),意味着aₖ₊₁比aₖ²增长得慢得多。
那么可以找到一个可比较的级数bₖ,和aₖ是渐进关系,且∑(1/bₖ)是有理数。
这部分解决了Erdős问题#263:序列aₖ =22k是否符合这个性质,是否所有增长速度不超过指数级的级数都有这个性质。
因为条件aₖ₊₁=O(aₖ²)不足以覆盖aₖ =22k的情况,这个条件也不适用于所有指数级或更慢增长的序列。
也就是aₖ₊₁=O(aₖ²)作为问题的分界线,“差一点”就能完整的解决了。

在这之后,陶哲轩展示了一个新的变体结论:
如果级数aₖ满足:aₖ₊₁=O(aₖ)(即下一项不会比当前项增长太快) 且∑(1/aₖ)收敛。
那么可以找到bₖ,使得:bₖ=aₖ+O(1)(即bₖ与aₖ只差一个有界的常数) 且∑(1/bₖ)是有理数。
这又和Erdős问题#264相关:
其中aₖ=2k时的情况被完全解决了,因为2k是指数增长。
问题中的第二部分,关于aₖ=k!的情况,超出了当前方法的能力范围。
新的分界线被定位到了指数增长。

就像这样……一步一步迭代逼近,就到了Erdős问题#266,也是更高维度的变体。
陶哲轩避免了任何数论难题,主要依赖有理数集的可数稠密性。(具体论证过程略)


最终,Stolarsky猜想被转化为一个无限维的问题。
陶哲轩让维度数d随k增长,但增长的速度要保持够慢,这样既保证收敛又保证稠密性。

不是陶解决的第一个Erdős问题
前面提到,陶哲轩给出结论的的这个问题,是Erdős问题#266。
由沃尔夫数学奖获得者、匈牙利数学家Paul Erdős(1913年3月26日-1996年9月20日)提出。

不过,这个问题的相关起源最早能追溯到古埃及时期——
古代埃及人在进行分数运算时,只使用分子是1的分数。因此这种分数也叫做埃及分数,或者叫单分子分数。
他们把所有复杂分数,都表示成单分子分数的和,例如3/4,一定要表示成3/4=1/2+1/4。
故而很长一段时间(大概几千年吧),数学史家都坚持认为古埃及人不会使用分数;现代数学家们也一度认为埃及人之所以未能把算术和代数发展到较高水平,其分数运算之繁杂(就是非要把真分数分解成单分子分数)也是原因之一。
等到数学家们发现里面隐含了何等丰富的内容,已经是两千多年后的后话了。

OK,让我们回到Erdős问题和Erdős本人。
Erdős被誉为20世纪最富有创造力的数学家和数学猜想提出者之一,21岁时就被授予数学博士学位,论文导师也是冯·诺伊曼的恩师利波特·费杰尔(Léopold Féjér)。
Erdős一辈子合作了超过500位数学家,毕生发表了约1525篇数学论文,数量之多,至今无人能及。
他穷其一生,致力于并提出了离散数学、图论、数论、数学分析、逼近理论、集合论和概率理论中的问题,其中大部分工作集中在离散数学领域,解决了该领域许多以前未解决的难题。
83岁时,因心脏病突发,Erdős去世在华沙的一个数学会议上。
如他所愿,他的墓志铭上写道:我终于不再变笨了(Végre nem butulok tovább)。

值得一提的是,Erdős问题#266不是陶哲轩解决的第一个Erdős相关问题。
2015年9月,陶哲轩在arXiv上挂了一篇论文《The Erdős discrepancy problem》,宣布证明了Paul Erdős在20世纪30年代提出的数论猜想“埃尔德什差异问题”存在。

埃尔德什差异问题于1932年被Erdős提出,此前困扰了学术界80多年。
与许多数论难题一样,埃尔德什差异问题描述起来很简单,但证明难度却很大。
通俗点阐述它:
假如你有一个由1和-1(例如由扔硬币随机产生)组成的数列和常数C。你要寻找到一个足够长的有限数列,使这一数列的总和大于常数C。
有意思的是,为了证实这个曾经的猜想,陶哲轩经过了多年手动计算和计算机尝试,还加入过一个专门研究它的小分队合力专研(虽然当时失败了)。
最终,破题的灵感来自德国数学家尤威·斯特罗斯基在陶博客下的评论,暗示陶研究的另一个问题可能与埃尔德什差异问题有关。
“起初,我认为这种联系只是表面的。”但陶哲轩很快意识到将新思路和已有的结果结合在一起,很可能得到问题的证明。
这件事在当年当月,登上了Nature,题为《数学天才解决了一个大师级谜题》。

更有意思的是,Erdős和陶哲轩的缘分,能追溯到更更更早。
1985年,72岁的Erdős去澳大利亚讲学。
在阿德莱德大学(8岁起,中学生陶哲轩用1/3的时间在该校学习数学、物理课程)的安排下,时年10岁的小陶哲轩拜见了Erdős。
Erdős认真阅读了陶哲轩写的论文,并鼓励他说:“你是很棒的孩子,继续努力!”
后来,Erdős还写了推荐信,推荐陶哲轩到普林斯顿大学攻读博士学位。
2010年,英国卫报评选了两千多年来“世界十大数学天才”,认为他们的革命性发现改变着我们的世界——Erdős和陶哲轩都榜上有名。
这两位数学大家还有一张非常经典的合影:
2013年,Erdős诞辰100周年之际,陶哲轩在自己的博客上分享了一张当年和Erdős的珍贵合影,以表怀念和感激。

One More Thing
But!
虽然#266被陶给出了结论,但Paul Erdős还留下了很多问题没被解决,这些问题通常是他在与其他数学家的合作中提出的,也有些是他独自思考后形成的。
这些问题涵盖了数论、组合数学、图论、概率论等多个数学领域。
目前,860个问题中,还有580个问题等着被探索(去掉#266也还有579个)。这些问题分别设置了0-10000美元的奖金。

这些灿烂又迷人的遗产,直到今天仍激励着每一位数学家,推动数学的进步,也让后来者从中获得新的视角和灵感。
论文地址:https://arxiv.org/abs/2406.17593v3
参考链接:[1]https://mathstodon.xyz/@tao/113559149269764165[2]https://terrytao.wordpress.com/2024/11/27/on-several-irrationality-problems-for-ahmes-series/[3]https://arxiv.org/pdf/1509.05363[4]https://www.nature.com/articles/nature.2015.18441