王朝阳院士联合日产研究发布: 全固态锂金属电池是不安全的
本文由网易科技获研究团队授权发布

摘要
多层电池中的单层内部短路被广泛认为是导致热失控和起火的最坏场景。我们报道了一种高度可重复的实验方法来量化锂离子电池和无负极电池内部短路期间发生的火灾/烟雾。结合热力学计算,我们首次揭示了带或不带液体电解质的锂金属电池在内部短路时比锂离子电池更危险:在1-3秒的时间内起火,并伴随相等或更大的燃烧热释放。这意味着所有带有锂金属的全固态电池都是不安全的,未来全固态电池的研发首先需要检查其安全性。最后,我们揭示了正极材料析氧在起火过程中的关键作用,并为开发安全的全固态电池提出了新途径。

研究背景
锂离子电池和下一代锂金属全固态电池的安全性是实现交通全面电气化的最重要障碍。不幸的是,至今我们仍然缺乏对电池起火和热失控的定量和可重复性的实验手段, 这使得 探索锂电池起火科学变得困难,也无法定量主导因素的影响,从而无法定量解决策略的有效性。
在这项工作中,我们开发了一种新的实验方法来定量研究锂离子电池 (LiB) 和无负极电池 (AFB) 单层内部短路过程中火灾或冒烟的发生。我们发现,在内部短路时,带和不带液体电解质的锂金属 AFB 比 液态锂离子电池更危险,在1-3秒的时间内起火。这意味着所有带有锂金属负极的全固态电池都是不安全的。此外,短路电流或加热功率中存在触发起火的阈值。最后,我们通过使用以各种SOC 三元正极以及与磷酸铁锂正极的对比,揭示了氧对锂金属全固态电池的深远影响。
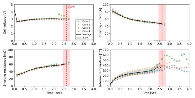
图1a(左)示意性地描述了多层电池中单层内部短路的物理问题,图1a(右)显示了旨在复制该问题的实验装置。在相同条件下,一组四个0.15 Ah 的单层 AFB 电池和 LiNi0.8Mn0.1Co0.1O2 (NMC811) 阴极证实了新测量系统的可重复性和准确性,图1b、c 和 d 所示的高度重复性令人满意,可用于进行参数实验以定量识别电池起火的主导因素。

a

b

c

d
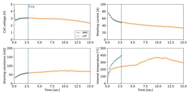
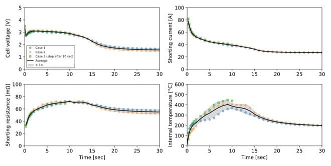
图1. 锂金属电池的单层内部短路。 a, 物理问题和相应实验设置的图示。 b, 使用 NMC 811正极的AFB电池的重复性测试,其中阴影区域表示 ±1 σ的误差。在内部短路开始后2.6秒左右 (用垂直虚线标记),所有4个电池都起火。 c, ISC 后 t=3.6秒 b 中4个电芯的照片。 d, 使用 LFP 正极的AFB电池的重复性测试,其中阴影区域表示 ±1 σ的误差。所有3个电芯都没有起火。
电池起火的燃料来源包括锂离子电池 LiB 中的碳酸盐电解液、AFB 中锂金属负极和局部高浓度电解液(LHCE)中溶剂/稀释液,以及无溶剂 AFB 电池中的锂金属。后者可作为锂金属全固态电池 (ASSB) 的模型。表1列出了上述燃料的燃烧热。显然,四种电池(LiB、含溶剂/稀释剂的 AFB、无溶剂 AFB 和所有固体 ASSB)中燃料的热值是可比的。值得注意的是,全固态电池仅用更高活性的锂金属作为燃料取代锂离子电池中的易燃电解液,两者燃烧释放的热量相当(91.85对93.69 J/cm2)。

图2a 比较了带有 LHCE 的 AFB 与 LiB 的内部短路(参见表 S1的电池设计规格),两者具有相同的 NMC811正极。AFB 的热值为156.81 J/cm2并且含有高活性锂金属,而 LiB 的热值为93.69 J/cm2不含锂金属。可以清楚地看到,AFB 电芯的内部短路要剧烈得多,在2.6秒时着火,而 LiB 仅在4秒左右喷出烟雾(图2b)。图2c 将带有 LHCE 的 AFB 与无溶剂AFB 池的 ISC 实验进行了比较;无溶剂 AFB 将燃料热值从156.81 J/cm2降低到45.92 J/cm2,仅归因于锂金属。无溶剂的AFB 在1.6秒内着火,甚至早于使用液体 LHCE 的 AFB 的2.6秒。

a

b

c

d
图2. 燃料对锂电池安全的影响。 a, AFB 与 LHCE 与 LiB。 b, 3.6秒时的 AFB 和4.75秒时的 LiB 照片。 c,含和不含液体溶剂的 AFB 电芯。 d,3.6秒时的 AFB 和2.25秒的无溶剂 AFB 的照片。参见表1中各种类型电池中燃料的热值。
触发电池燃烧的另一个关键因素是热输入,它与短路电流的平方成正比。我们通过在测量回路中添加额外的电阻来系统地改变短路电流,如图1a(右)所示。图3a 显示了 AFB 的三个实验,分别使用额外的6、12和16 mΩ 电阻。可以看出,初始短路电流相应地从81 A 下降到67 A。初始短路电流为81 A 和78 A 的6 mΩ 和12 mΩ 外壳在短路时分别在2.4秒和3.0秒起火。但是,当初始短路电流降至67 A(在16 mΩ 的情况下)时,不会起火。这表明存在一个短路电流阈值,约为 ~70A,以触发电池起火。转换为 C 倍率,该阈值相当于2.6Ah 电池的 ~27C。触发火灾的阈值短路电流的存在表明,如果短路电阻足够大,比如软短路的情况,可能不起火,也不会冒烟。因此,在电池内短路的定量科学研究中必须精确控制短路电阻。否则内短路后果表现随机;先前未能报告和精确控制这一关键实验参数的实验结果也是随机的。另外,这里发现的起火阈值短路电流的技术意义是,全固态电池可以通过设计和制造具有较大内阻来避免起火,例如采用复合集流体。

a

b
图3. 短路电流的影响。 a、 单层 ISC 后的电池电压、短路电流、短路电阻和内部温度。 b, 短路电流主要由各种 AFB 电池和 LiB 电池中的短路电阻分别控制。
燃烧需要氧气,因此,电池起火通常源自层状氧化物正极。为了证实这一假设,两个 AFB,一个使用 NMC811正极,另一个 LFP正极。图4a 清楚地表明,NMC正极 的 AFB 会着火,而LFP正极的 AFB 既不起火也不冒烟。图4b 进一步比较了四个 AFB 与 NMC正极充电到各种SOC。SOC 越高,短路过热时释放的氧气就越多。120% 和100% SOC 情况在内部短路时大约同时(~2.6秒)起火,而75% SOC在12秒左右延迟形成烟雾,50% SOC既不起火也不冒烟。图4的结果证明了氧化剂在电池火灾形成中的深远重要性,指出氧与锂金属的分离将是抑制或消除火灾/烟雾的重要方向,以确保锂金属全固态电池的安全。

a

b
图4. 氧化剂对ISC 锂电池安全的影响。 a, NMC 与 LFP 正极。 b,NMC 正极充电到不同的SOC。
结论
基于燃烧理论,我们通过考虑热输入、燃料和氧化剂来阐明锂电池起火。研究发现,无关何种电解质,所有含有锂金属的电池都有充分条件在1-3秒的时间内着火。如此短的火灾发生时间使得Pack层面上安全措施几乎不可能,我们必须在电池内部寻找可行的解决方案:包括化学、材料和内部结构。否则,锂金属全固态电池本质上是不安全的,无论是在着火的动能还是之后的大量热量释放角度。
电池起火存在一个短路电流阈值。因此,控制短路电阻至关重要。有意提高包括 全固态在内的锂金属电池的内阻,从而降低短路电流证明可以有效避免火灾和实现安全,但这样的措施将遏制全固态电池 实现快速充电和大功率放电的雄心。此外,通过使用PTC材料进行短路电流控制可能有效。最后,层状氧化物正极析氧及其进入锂金属负极在火灾/烟雾的形成中起主要作用; 因此,灭火/抑烟需要阻隔正极中释放的氧气与锂金属直接接触。
全固态电池着火的最常见化学反应是熔融锂燃烧:
4Li + O2 2Li2O ΔH=4.3x107 J/kg
在滥用条件下,图5展现了全固态电池的四种着火可能性 :(a) 非100% 致密的固体隔膜含有开孔、裂纹和缺陷(图5a),(b) 固体隔膜在钉刺过程中或机械冲击而破裂(图5b),(c) 锂枝晶通过无机电解质隔膜(例如沿晶界)生长到达正极(图5c), (d) 180oC 及以上的熔融锂被好几 MPa 的超高压缩压力从电芯边缘挤出或溅出,到达析氧的正极(图5d)。
锂金属电池着火灾的时间极短,这是一个严重的问题,因为它使电池包层面的安全措施几乎徒劳无功。因此,解决安全问题应该是全固态电池的第一研发重点。

图5. 在全固态电池滥用条件下,锂金属与 正极析出氧气接触的示意图。 a, O2通过固体隔膜的孔隙、裂纹和缺陷扩散。 b, O2在钉刺中渗透到负极。 c, 锂枝晶生长到正极 。 d, 被电池夹紧压力挤压或溅出的锂液滴。
Reference:
S. Ge, T. Sasaki, N. Gupta, K. Qin, R.S. Longchamps, K. Aotani, Y. Aihara, C.Y. Wang, Quantification of Lithium Battery Fires in Internal Short Circuit, ACS Energy Lett. 2024, 9, 5747–5755.
https://pubs.acs.org/doi/full/10.1021/acsenergylett.4c02564
本文来自网易科技报道,更多资讯和深度内容,关注我们。