喝醋真的能降糖,但绝对不可以这样喝
80后、90后们可能从父母那里听说过喝醋风潮,二三十年前,不少人为了减肥、养生或美容跟风尝试。火热一阵之后,醋饮料只留在了广东、广西和福建地区。
最近几年,“控糖”这个主题热度攀升,醋又因为降糖的潜力,重新被推为功能强大的健康饮食。
醋,在一些情况下确实对控制血糖有帮助,但直接喝有可能对人造成严重伤害。


电视剧《狂飙》中,高启强在餐桌上倒苹果醋 | 电视剧《狂飙》
喝醋降糖,对白面包管用、对糖水没用
如果你的血糖平时都在正常范围,在吃大量容易升高血糖的主食之前,先来点醋,可能会降低餐后血糖反应。
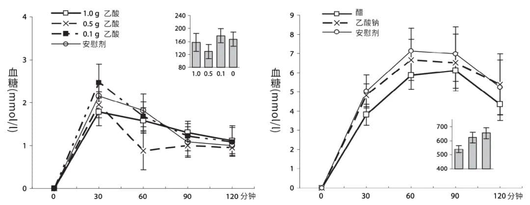
一项研究在29名健康人中测试了果醋的降糖功效。试验分为三个部分,第一部分对比了不同浓度的醋对血糖的影响。
每名受试者吃4次白面包和果汁,并在吃之前分别喝20克、10克、2克醋或安慰剂。血糖测试结果显示,喝10克醋时血糖最低,血糖反应(曲线下面积增量)比喝安慰剂时降低了23%。研究还测试了“被碱中和了的醋”(乙酸钠),它对血糖的作用,与安慰剂没有明显区别。

左图 - 不同剂量醋与安慰剂对血糖的影响。白面包的碳水化合物量为1克/公斤体重;果醋由苹果汁酿造,未额外添加糖,乙酸浓度5%,饮用前以水稀释。4种吃法的血糖曲线下面积增量分别为157±28、129±21、178±21、167±22mmolmin/l。右图 - 醋、乙酸盐及安慰剂对血糖的影响。血糖曲线下面积增量分别为540±24、622±38、653±39mmolmin/l |参考文献[2]
还有其他研究测试过醋对餐后血糖的影响,多数选择了乙酸浓度5%的醋,量约20克。虽然研究数量不多,但结果比较一致,喝醋通常能降低健康人的餐后血糖反应,幅度约为20%。对于确诊糖尿病或糖耐量异常的人,也有研究得出了类似结果。
平时常见的醋,乙酸浓度大多数都在5%左右,比如陈醋、米醋和一些果醋(可参考标签中的酸度或总酸)。而20克醋,大约能装满3~4矿泉水瓶盖。


研究的第二部分对比了不同时间喝醋的影响。同样喝醋20克,吃白面包之前2分钟喝醋,血糖反应比喝安慰剂降低19%。吃之前5小时喝醋,对血糖没有明显影响。得出喝醋降糖结果的其他研究,喝醋时机通常在餐前半小时或进餐时。

白面包的碳水化合物量为75克。餐前2分钟、5小时喝醋和安慰剂时,血糖曲线下面积增量分别为266±45、331±38、330±38mmolmin/l |参考文献[2]
第三部分把白面包换成了葡萄糖水,虽然糖水和白面包的碳水化合物量一致,但喝糖水之前喝醋,血糖反应与喝安慰剂时没有明显区别。结合其他试验结果,吃含大量淀粉的高血糖升高指数(GI)食物时,喝醋通常可以降低餐后血糖反应,而醋对低GI食物、单糖引起的血糖反应影响不大。
上面这句话的意思是,喝醋降糖,在吃大量精细加工主食时效果比较好,比如白米饭、面条、白面馒头和白面包。
吃不容易升高血糖的食物时效果不好,这包括两种情况,一是主食GI值低(全谷物、玉米、土豆等),二是同时吃大量高纤维蔬菜、脂肪或蛋白质。
对于含大量添加糖的饮食,喝醋降糖的效果也不好,所以喝含糖饮料、吃甜点之前喝醋,一般不能降糖;喝添加了大量糖的醋,也不能降糖,可能还会升高血糖。

吃大量精细加工主食时,喝醋降糖的效果比较好 | giphy
醋里的酸,阻止了淀粉的消化吸收
在前面的试验里,醋降糖、“不酸的醋”不降糖,提示醋里面起作用的物质主要是酸;醋降白面包餐后的血糖、不降糖水后血糖,显示醋影响淀粉的消化吸收,而不是单糖。
淀粉的消化从口腔开始,唾液α-淀粉酶将淀粉这样的多糖“切分”成双糖、三糖等,这些糖在肠道被其他酶进一步分解成单糖,并被吸收进入血液。唾液α-淀粉酶在酸性环境中会失活,通常在进入胃内一段时间后,随着食物与胃酸混合而失效。

唾液α-淀粉酶可将淀粉切分为更易消化吸收的双糖和三糖等 | giphy
研究显示,醋的酸性也可以让唾液α-淀粉酶失活,主食里淀粉的消化过程减缓,餐后血糖就平稳下来了。而甜饮料里的单糖、双糖本来就不需要淀粉酶切割,可以直接在肠道细胞处被分解吸收,所以醋就难以降低血糖了。
除了对淀粉酶的抑制,还有研究者提出了醋降糖的其他可能机制,包括对其他酶的抑制、减慢胃排空速度、增加组织对糖的摄取及减少肝生成糖等等。这些机制是否全部有效,以及各自对降糖的贡献比例,目前还不明确。

常见物质pH值(酸碱度)。柠檬汁、葡萄酒等酸性饮食,在一定条件下也有降低餐后血糖的作用| 参考文献[8]
直接喝醋,伤牙齿又伤消化道
喝下酸性强的饮料,会损伤饮料直接接触到的牙齿和消化道,还可能造成危及生命的全身问题。
如果经常直接喝醋,牙釉质将受到损坏,增加牙齿敏感、龋齿的风险。用大约1:10的比例稀释醋,并在喝完后漱口可以帮助预防牙齿损伤。
喝下未经稀释的醋,还可能造成消化道损伤。曾有报道描述,一名39岁女性为“软化”卡在喉咙里的蟹壳,直接喝了一汤匙米醋,就诊时内镜检查发现口咽部存在炎症反应,食道22~30厘米处及贲门处可见II度腐蚀性损伤(而且蟹壳也没有被化掉)。

内镜下的食道损伤,可见表层组织脱落及白色渗出。不仅是消化道,外用醋也可能导致皮肤化学性烧伤 | 参考文献[9]
由于醋对食道及胃的刺激,部分人喝醋后会出现腹痛、恶心等症状。
大量口服酸性物质,在损伤局部之外,还会导致全身异常,比如电解质水平异常、弥漫性血管内凝血、溶血及肾衰竭。因此,肾功能严重受损、口服相关药物(如利尿剂、地高辛)的人,喝醋需要额外注意。
要不要喝醋降糖?
喝醋,在一些情况下确实可以帮助控制血糖。既然喝醋有效又方便,那为什么医生、膳食指南从来没有推荐大家全都去喝醋,而是一直强调控制饮食和适当锻炼呢?
因为整体饮食结构和锻炼,对平稳血糖、改善健康、预防糖尿病及心血管病等疾病的作用,比喝醋更明确,也更显著。
如果饮食不健康,餐前喝杯醋不能解决所有问题,不如在有限的条件里尽量做好选择,比如点外卖时多加份蔬菜、备注少加米饭和高热量的酱料,或者把食堂的菜在水里涮一下再吃。
要是可以按照膳食指南来吃饭,每餐吃适量全谷物、肉蛋和蔬菜,血糖水平已经比较平稳,喝醋也不能再进一步降糖了。
也就是,本身没有控制饮食和锻炼的话,每天喝几勺醋并不会让你立刻变健康、摆脱药物,最需要的是调整饮食运动;如果各方面都已经做得很好,醋的效果也有限。
所以,要是喜欢醋的味道可以稀释后适量喝,专为降糖的话不如先从饮食下手。
参考文献
[1]https://www.chinanews.com.cn/m/sh/shipin/cns-d/2020/06-09/news858736.shtml
[2]Johnston CS, Steplewska I, Long CA, Harris LN, Ryals RH. Examination of the antiglycemic properties of vinegar in healthy adults. Ann Nutr Metab. 2010;56(1):74-9.
[3]Petsiou EI, Mitrou PI, Raptis SA, Dimitriadis GD. Effect and mechanisms of action of vinegar on glucose metabolism, lipid profile, and body weight. Nutr Rev. 2014;72(10):651-61.
[4]Goodman BE. Insights into digestion and absorption of major nutrients in humans. Adv Physiol Educ. 2010 Jun;34(2):44-53.
[5]Liljeberg, H., Björck, I. Delayed gastric emptying rate may explain improved glycaemia in healthy subjects to a starchy meal with added vinegar. Eur J Clin Nutr 52, 368–371 (1998).
[6]Liatis S, Grammatikou S, Poulia KA, Perrea D, Makrilakis K, Diakoumopoulou E, Katsilambros N. Vinegar reduces postprandial hyperglycaemia in patients with type II diabetes when added to a high, but not to a low, glycaemic index meal. Eur J Clin Nutr. 2010 Jul;64(7):727-32.
[7]Ostman E, Granfeldt Y, Persson L, Björck I. Vinegar supplementation lowers glucose and insulin responses and increases satiety after a bread meal in healthy subjects. Eur J Clin Nutr. 2005 Sep;59(9):983-8.
[8]Santos HO, de Moraes WMAM, da Silva GAR, Prestes J, Schoenfeld BJ. Vinegar (acetic acid) intake on glucose metabolism: A narrative review. Clin Nutr ESPEN. 2019 Aug;32:1-7.
[9]Chung CH. Corrosive oesophageal injury following vinegar ingestion. Hong Kong Med J. 2002 Oct;8(5):365-6.
[10]Anderson S, Gonzalez LA, Jasbi P, Johnston CS. Evidence That Daily Vinegar Ingestion May Contribute to Erosive Tooth Wear in Adults. J Med Food. 2021 Aug;24(8):894-896.
本文来自微信公众号 “果壳”(ID:Guokr42)